產品中心
中藥標準品
|
產品編號 |
英文名稱 |
CAS號 |
包裝 |
|
Y3583 |
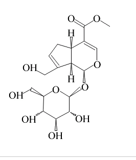
Geniposide |
24512-63-8 |
可根據客戶要求訂制 |
英文名稱:Geniposide
CAS號:24512-63-8
分析標準品,≥98%
分子式 C17H24O10 分子量388.37

基本信息:
密度 1.54
存貯條件 儲存溫度-20°C
描述
別名 梔子甙,梔子苷;Methyl (1R,2S,6S)-9-(hydroxymethyl)-2-[(2S,3R,4S,5S,6R)-3,4,5-trihydroxy-6-(hydroxymethyl)oxan-2-yl]oxy-3-oxabicyclo[4.3.0]nona-4,8-diene-5-carboxylate
生化機理 京尼平苷是一種環烯醚萜苷具有多種生物活性,包括神經保護、抗糖尿病、抗增殖和抗氧化活性。梔子苷已被證明是調節Nrf2的易位,并通過PI3K/Akt信號通路上調下游抗氧化蛋白HO-1的表達。胰高血糖素樣肽-1(GLP-1)受體也可能在梔子苷誘導的HO-1表達中發揮關鍵作用。
