產品中心
生命科學標準品
|
產品編號 |
英文名稱 |
CAS號 |
包裝 |
|
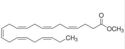
Y0695 |
cis-4,7,10,13,16,19-Docosahexaenoic acid methyl ester |
301-01-9 |
可根據客戶要求訂制 |
產品編號:Y0695
英文名稱:cis-4,7,10,13,16,19-Docosahexaenoic acid methyl ester
CAS號 301-01-9
分析標準品
分子式 C23H34O2 分子量342.51
基本信息:
折光率1.498
密度0.917
存貯條件儲存溫度 -20°C
描述
別名二十二碳六烯酸甲酯;Methyl 4,7,10,13,16,19-docosahexaenoate DHA
