產品中心
農殘、獸藥及化肥類
|
產品編號 |
英文名稱 |
CAS號 |
包裝 |
|
Y1910 |
Phosphamidon solution |
13171-21-6 |
可根據客戶要求訂制 |
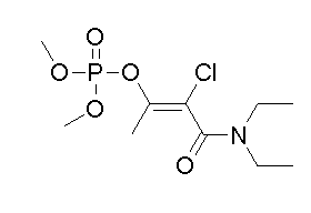
產品編號:Y1910
英文名稱:Phosphamidon solution
CAS號: 13171-21-6
100μg/ml,u=4%,溶劑:甲醇
分子式 C10H19ClNO5P 分子量299.69

基本信息:
敏感性 對光線敏感
密度 0.7915
存貯條件 儲存溫度-20°C
描述
產品介紹 易溶于水、醇、丙酮、乙醚、二氯甲烷,微溶于芳香烴,不溶于石油醚及脂肪烴。磷胺水溶液不太穩定,在中性及酸性中緩慢水解,在堿性高溫下迅速水解。工業品含順式異構體70%,反式異構體占30%,順式異構體具有較強活性。
別名 磷胺 ;2-氯-3-二乙氨基甲酰-1-甲基乙烯基二甲基磷酸酯;2-Chloro-N,N-diethyl-3-(dimethylphosphono)crotonic amide
備注 劇毒品
應用 磷胺為廣譜性有機磷殺蟲劑,可防治刺吸式口器和咀嚼式口器的多種害蟲。對棉蚜、棉紅蜘蛛等棉花害蟲有較高防效,對稻飛虱、稻葉蟬、月稻螟蟲等也有優良殺傷效果。還用于防治甘蔗螟蟲、大豆食心蟲、梨小食心蟲等。
