產品中心
農殘、獸藥及化肥類
|
產品編號 |
英文名稱 |
CAS號 |
包裝 |
|
Y1981 |
Harmony |
79277-27-3 |
可根據客戶要求訂制 |
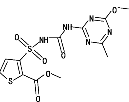
產品編號:Y1981
英文名稱:Harmony
CAS號: 79277-27-3
分析標準品,98%
分子式 C11H11N5O6S2 分子量373.36

基本信息:
密度 1.674
描述
產品介紹 溶于有機溶劑中,對皮膚無刺激,對鳥及魚類低毒。
別名 噻吩黃隆, 3-(4-甲氧基-6-甲基-1,3,5-三嗪-2-基)-1-(2-甲氧基甲?;绶?span>-3-基)-磺酰脲;Thifensulfuron-methyl
