產品中心
相關產品
食品和飲料標準品
|
產品編號 |
英文名稱 |
CAS號 |
包裝 |
|
Y3165 |
Cynaroside |
5373-11-5 |
可根據客戶要求訂制 |
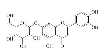
產品編號:Y3165
英文名稱:Cynaroside
CAS號 5373-11-5
分析標準品,≥98%
分子式 C21H20O11 分子量448.38
基本信息:
密度 1.713
描述
別名 木犀草苷 ;木犀草素-7-O-葡萄糖苷,青蘭苷 ;Luteolin 7-O-D-glucoside; 2-(3,4-Dihydroxyphenyl)-5-hydroxy-7-[(2S,3R,4S,5S,6R)-3,4,5-trihydroxy-6-(hydroxymethyl)oxan-2-yl]oxychromen-4-one
