產品中心
中藥標準品
|
產品編號 |
英文名稱 |
CAS號 |
包裝 |
|
Y3730 |
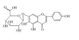
Scutellarin |
27740-01-8 |
可根據客戶要求訂制 |
英文名稱:Scutellarin
CAS號:27740-01-8
分析標準品
分子式 C21H18O12 分子量462.37

基本信息:
密度1.527
存貯條件 貯存溫度-20℃
描述
產品介紹 無臭、味微苦澀,有引濕性。Silibinin 是Silymarin的主要活性成分,Silibinin是近似等摩爾比的silibinin A和silybinin B兩種對映異構體的混合物。
別名 (±)-水飛薊賓;水飛薊賓;2,3-二氫-3-(4-羥基-3-甲氧基苯基)-2-羥甲基-6-(3,5,7-三羥基-4-氧代苯并吡喃-2-基)苯并二氧六環;Silybin;(±)-Silybin;2,3-Dihydro-3-(4-hydroxy-3-methoxyphenyl)-2-(hydroxymethyl)-6-(3,5,7-trihydroxy-4-oxobenzopyran-2-yl)benzodioxin
應用 具有對脂肪氧合酶、過氧化酶的抑制作用
